logo
Отправить сообщение
Yongwell Trading (shanghai) Co.,Ltd

CO. торговой операции YongWell (Шанхая), Ltd

Дом
Продукты
О нас
Путешествие фабрики
Проверка качества
Свяжитесь мы
Отправить запрос
Главная страница ПродукцияАгент Nucleating

Очищенность Nucleating TMB-5 PP 99% уточняя агент CAS 153250-52-3

Очищенность Nucleating TMB-5 PP 99% уточняя агент CAS 153250-52-3

  • Очищенность Nucleating TMB-5 PP 99% уточняя агент CAS 153250-52-3
Очищенность Nucleating TMB-5 PP 99% уточняя агент CAS 153250-52-3
Подробная информация о продукте:
Место происхождения: Китай Гуандун Zhongshan
Фирменное наименование: BLK 7985 China
Номер модели: BLK 7985
Оплата и доставка Условия:
Количество мин заказа: 100kg
Упаковывая детали: 10kg/bag алюминиевая слоистая пластмасса bag+carton
Время доставки: 10 рабочих дней
Условия оплаты: T/T, L/C, D/A, D/P, западное соединение
Поставка способности: 300 тонн
контакт
Подробное описание продукта
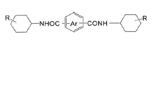
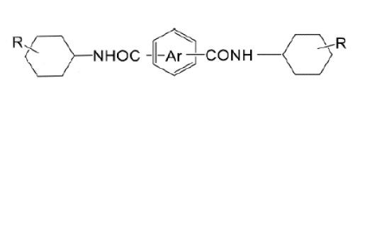
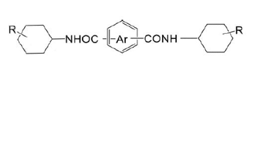
Структура Chem: N, dicarboxamide N'-dicyclohexyl-2,6-naphthalene CAS: 153250-52-3
Применение: Изменение свойства PP Химическое имя: агент (бета) ß nucleating
Модельное имя: BLK 7985 Compund: Ариловая смесь амида
Очищенность: 99% Синонимы: TMB-5
Выделить:

TMB-5 PP уточняя агент

,

153250-52-3 PP уточняя агент

,

Очищенность PP 99% уточняя агент

Агент BLK 7985 уточняя для PP
Изготовитель агента верхней части Китая уточняя.
Свободный образец UPS Federal Express для пробы.
Быстрая доставка от Китая.

Особенности
• Nucleating агент BLK-7985 (TMB-5) репрезентивное разнообразие агента β-Кристл типа амид полипропилена nucleating. Он может растворить в смоле плавит на обрабатывая температуре полипропилена (PP), и рекристаллизует с уменшением плавит температуру для того чтобы сформировать палочковидные кристаллы с более большим коэффициентом сжатия, таким образом наводящ нуклеацию PP с β-кристаллическими кристаллами для того чтобы улучшить прочность удара, температуру отклонения жары и микропористость продуктов. В отличие, BLK-7985 (TMB-5) имеет стабилизированную структуру и β-кристаллическое содержание PP не повлияно на повторенный плавит штранг-прессование.

Применение
• Широко использованный в трубах PP-R, продукты инжекционного метода литья и сухой процесс подготовки диафрагмы батареи лития, и она имеют хорошее синергическое влияние с углекислым кальцием. К тому же, BLK-7985 имеет нуклеацию повышая влияние на polybutene-1 (PB-1).


Медицинский осмотр и химические свойства

Деталь теста
Технические данные
Возникновение
Белый порошок
Точка плавления
минута 340℃
Потеря на засыхании
1,0% максимальное
Добавление
0.05-0.15 phr


• Фактическое additon зависит от полимера и свойств продуктов финиша.
• Вышеуказанные свойства подтвержены достаточными лабораторными исследованиями, пока нет гарантии. В пользе процесса специфического количества быть основанным на образовании процессов оборудования и другого всестороннего рассмотрения.

Пакет & доставка
• алюминиевый пластиковый мешок слоистой пластмассы 10kg/bag, влагостойкий + коробка бумаги или или customerized
• 100-1000KGS 5 дней, 1000-10,000 КИЛОГРАММОВ 15 дней etc.

Регуляция и хранение
Сохраненный в сухом и провентилированный внутри кладоваи, предотвратите сразу солнечный свет, немножко кучу и положить вниз.
• Защитная одежда следует быть несена когда операторы регулируют, или подвергана действию, этот продукт. См. MSDS для более дополнительного детального совета.

Контактная информация
Yongwell Trading (shanghai) Co.,Ltd

Контактное лицо: Mr. SUPING. JIANG

Телефон: +86 135 2473 2599

Оставьте вашу заявку (0 / 3000)

Другие продукты
Пестицид DDVP

Аграрный пестицид CAS 62-73-7 DDVP, EC 1000 DDVP для сохранности урожая

Выпарка 100% инсектицида EC CAS 62-73-7 DDVP низкой токсичности низкая

Быстрый действуя инсектицид Dichlorvos CAS 62-73-7 50% для тлей хлопка

Пестицид CAS 62-73-7 Dichlorvos EC сохранности урожая 77,5%

Инсектицид DDVP

Служба борьбы с грызунами и паразитами агрохимический CAS 62-73-7 DDVP распыляет для мух москитов

Инсектицид CAS 62-73-7 95% DDVP, инсектицид фруктового дерева

Домочадец использует внутрирастительный инсектицид Dichlorvos C4H7Cl2O4P органический

Брызги инсектицида маиса спектра сильной особой чистоты широкие в барабанчиках 250KGS

Брызги DDVP

Сильный контакт влияния убивая 10ppm химикат брызг мышьяка DDVP

Аграрная жидкость пестицида Dichlorvos 200-547-7 99%

Живот отравляя брызги Dichlorvos CAS 62-73-7 для здравоохранений

Брызги инсектицида Dichlorvos управлением насекомого для складских помещений еды

Отправить запрос

E-Mail | Sitemap

политика конфиденциальности | Китай хороший качество Пестицид DDVP поставщик. © 2021 - 2025 Yongwell Trading (shanghai) Co.,Ltd. All Rights Reserved.